诗词曲赋
书法绘画
中医文化
华夏历史
茶文化
美食
国宝珍藏
古籍
博物馆
书法字库
先秦
秦汉
魏晋南北朝
隋唐五代
宋辽金
元代
明代
清代
近现代
其他
搜索
首页
书画
宋辽金
苏轼
吴琚
张即之
朱熹
薛绍彭
宋徽宗赵佶
文天祥
蔡京
蔡襄
李建中
米芾
黄庭坚
苏轼
欧阳修
赵孟頫
其他
类型:
不限
书法
印刻
人物
山水
花鸟
藏
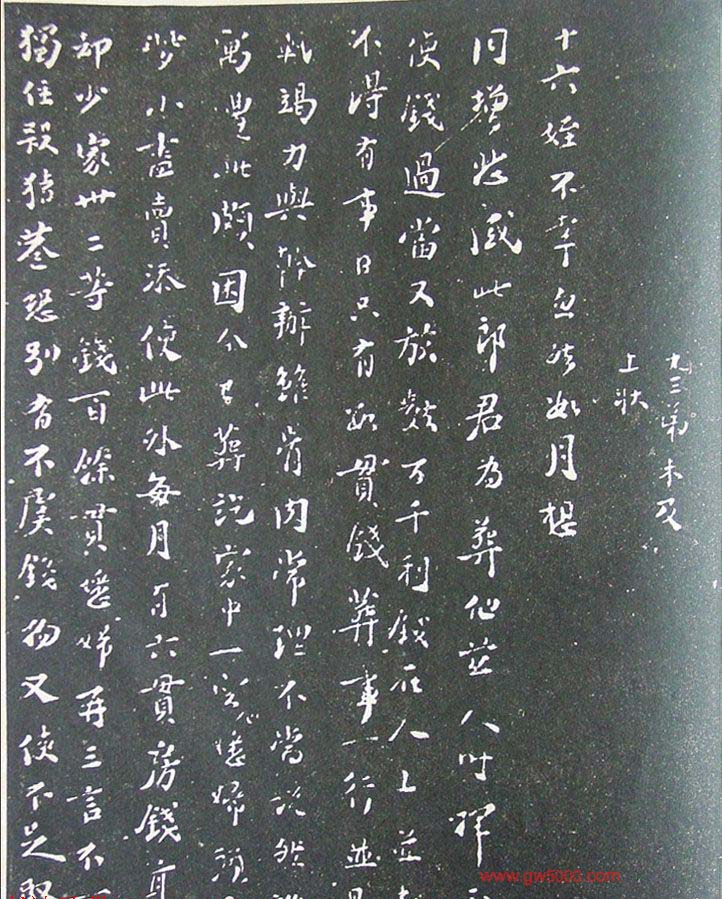
匋斋旧藏《宋拓西楼苏帖东坡书髓》第五册
宋辽金
苏轼
民国文明书局据匋斋旧藏本影印《宋拓西楼苏帖东坡书髓》第五册,又名《东坡苏公帖》,原石刻拓本,天津博物馆藏。
上一页:
《宋拓西楼苏帖东坡书髓》第六册匋斋旧藏本
下一页:
民国珂罗版《宋拓西楼苏帖东坡书髓》第四册
发表
全部评论(0)
更多评论
点
击
图
片
可
放
大
可
旋
转
书画名家
启功
李叔同
张大千
徐悲鸿
更多
苏轼
+
苏轼行书《东坡真迹帖》
+
苏东坡行书《衡门帖》(日本藏)..
+
苏东坡49岁书落花诗(日本藏)..
+
苏轼行书《送贾讷倅眉》
+
苏轼行书《和王明叟喜雪诗帖》..
更多
© 2013
中国文化网
www.gw5000.com
粤ICP备17004399号
微信:15202072006
搜索
请选择
诗词
书画
书法字库
中医
历史
茶
国宝
古籍
美食
我的
我的收藏
请先登陆
顶部