诗词曲赋
书法绘画
中医文化
华夏历史
茶文化
美食
国宝珍藏
古籍
博物馆
书法字库
先秦
秦汉
魏晋南北朝
隋唐五代
宋辽金
元代
明代
清代
近现代
其他
搜索
首页
书画
宋辽金
米芾
吴琚
张即之
朱熹
薛绍彭
宋徽宗赵佶
文天祥
蔡京
蔡襄
李建中
米芾
黄庭坚
苏轼
欧阳修
赵孟頫
其他
类型:
不限
书法
印刻
人物
山水
花鸟
藏
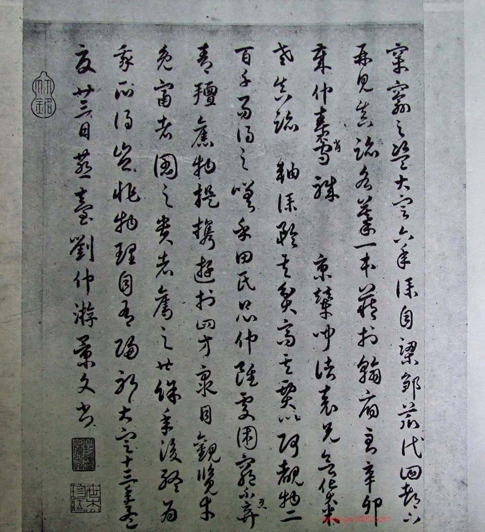
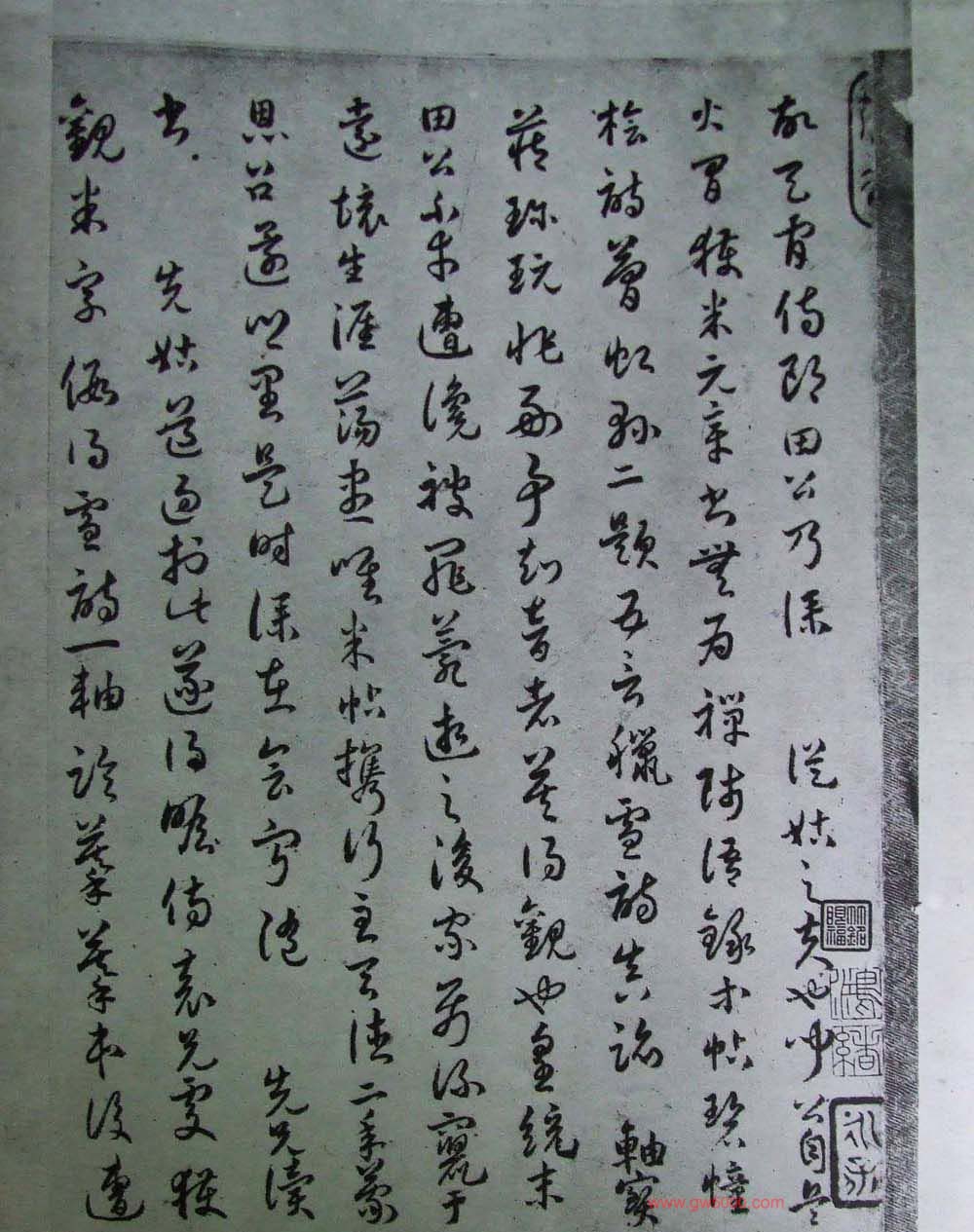
在线书法图书《米芾墨迹三种》
宋辽金
米芾
在线书法图书《米芾墨迹三种》,上海书画出版社1978版本,该书收录米芾行书墨迹:《
虹县诗
》、《
多景楼诗
》、《
研山铭
》 ,全书正文图片50张。
上一页:
中国古代书画拍卖品《米芾行书书法长卷》
下一页:
米芾行书欣赏《章圣天临殿记铭》
发表
全部评论(0)
更多评论
点
击
图
片
可
放
大
可
旋
转
书画名家
启功
李叔同
张大千
徐悲鸿
更多
米芾
+
米芾行书鹡鸰颂卷
+
米芾行书《动静交相养赋》(日本藏)..
+
米芾行书《元符帖》(日本藏)..
+
米芾行书尺牍《弊居帖》高清大图欣赏..
+
米芾行书《三馆暴书帖》
更多
© 2013
中国文化网
www.gw5000.com
粤ICP备17004399号
微信:15202072006
搜索
请选择
诗词
书画
书法字库
中医
历史
茶
国宝
古籍
美食
我的
我的收藏
请先登陆
顶部